這一部分共需要討論柵源電壓對電流的控制作用、襯源電壓對電流的作用以及漏源電壓對電流的作用
柵源電壓對電流的控制作用(VDS>VGS?VTH)
強反型區又叫平方律區,因為電流IDS表達式滿足:


襯源電壓VBS對電流的作用(二階效應:背柵效應)
襯源電壓VBS往往不為0,這會引入背柵效應
對于NMOS,當襯源PN結正偏時,會帶來閂鎖效應(Latch-up),所以VBS<0,背柵效應會導致閾值電壓變大,電流IDS減小。
對于PMOS,VBS>0;VTH<0V
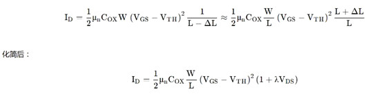
漏源電壓VDS對電流的作用(二階效應:溝道長度調制效應)
當MOS管進入飽和區后,輸出電流并不是水平線,而是存在一定的傾斜。這是由于導電溝道產生夾斷,有效溝道長度變短。


大信號與小信號
大信號狀態與小信號狀態是一一對應的。大信號分析是小信號分析的基礎(VGS,VDS,VBS都屬于大信號)
當MOS管電壓電流隨輸入信號的變化有較大改變時,認為MOS工作在大信號狀態;當MOS電壓電流變化不影響電流工作點,則MOS工作在小信號狀態。
MOS管小信號模型
gm


上式中,gm為小信號參數,而后面三個等式中的參數均為大信號參數。(由此可見大信號分析是小信號模型分析的基礎)
gm描述了柵源電壓對輸出電流的控制作用,因為實際應用中往往固定過驅動電壓VGS?VTH,所以第三個等式gm=2IDS/VGS?VT使用最多
rDS


結合跨導對應的小信號模型,rDS描述了漏源電壓對電流的作用,根據公式


gmb


MOS管單管本征增益


如圖所示,共源極放大器,理想電流源作負載,在小信號模型中理想電流源看作開路,該MOS管的增益AV可寫作:


由于此處負載為理想電流源,而實際負載不可能阻抗為無窮,因此本征增益是單管放大電路的最大增益。此外,由AV表達式可見,要獲得大的增益,需要選擇一個大的溝道長度以及盡量小的過驅動電壓。一個合適的過驅動電壓為0.2V。
事實上,如果追求高速度,MOS管要有一個小的溝道長度,大的過驅動電壓。這一矛盾,歸根到底是增益和速度的矛盾。
〈烜芯微/XXW〉專業制造二極管,三極管,MOS管,橋堆等,20年,工廠直銷省20%,上萬家電路電器生產企業選用,專業的工程師幫您穩定好每一批產品,如果您有遇到什么需要幫助解決的,可以直接聯系下方的聯系號碼或加QQ/微信,由我們的銷售經理給您精準的報價以及產品介紹
聯系號碼:18923864027(同微信)
QQ:709211280

