Vov:過驅動電壓overdrive voltage,Vov=Vgs-Vth,過驅動電壓也用Vod表示
Vdsat:飽和漏源電壓或夾斷時漏源電壓(剛出現夾斷)saturation drain voltage
在長溝道下,vdsat=vgs-vth=vov,在短溝道下,由于二階效應,vdsat小于vgs-vth,但這個值,spice也好,spectre也好,都是用來判斷管子工作區間的。
vds>vdsat管子工作在飽和區
vds<vdsat管子工作在線性區
Vov=Vgs-Vth,用MOS的Level 1 Model時,不考慮短溝道效用,Vdsat=Vov=Vgs-Vth,當Vds>Vdsat時,MOS的溝道就出現Pich-off現象,這時候電流開始飽和。(長溝道器件)
但是考慮到短溝道效應的模型里,溝道里的多子因為速度飽和效應(Velocity saturation),Vds不需要到達Vov,只要到達Vdsat,Ids就會飽和,不會再上升。
但是此時在物理上,溝道并未達到Pinch- off,直到Vds=Vov,溝道的Pinch-off現象才會出現。也就是說在短溝道模型中,器件在溝道Pinch-off之前就會達到速度飽和,電流 不會再增加(短溝道器件)
小結: Vds-Vdsat要留一定余量,一般200mv,差分輸入對一般為100多mv,一般來說vdsat<50mV管子基本就工作在線性區;一是怕管子由于工藝進入線性區;二是飽和區邊緣rds較小。


以下是晶體管工作在速度飽和區的簡單推導過程:
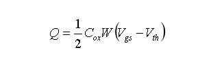
Cox是單位面積的柵氧化層電容。
μ是遷移率。在半導體材料中,載流子處于無規則的熱運動狀態,在外加電壓時,載流子受到電場力的作用而定向移動,形成漂移電流。定向移動的速度也稱漂移速度,電流方向由載流子類型決定。載流子的平均漂移速度v與電場強度E成正比,比率就是遷移率μ,其關系式為:


公式1.1
以NMOS為例,晶體管工作在飽和區,其溝道的電場強度E可以表示為:


公式1.2
電流的其中一種定義是單位時間內通過導體橫截面的總電荷數(載流子數目),即沿著電流方向電荷密度和速度的乘積。工作在飽和區的NMOS管,其平均電荷密度可以表示為:


公式1.3
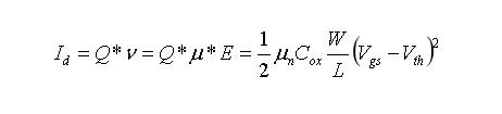
那么根據電流的定義就可以得到與過驅動電壓Vgs-Vth成平方律關系的經典電流公式,有:


公式1.4
在公式1.4中L為溝道實際長度,而在公式1.2中Leff為有效溝道長度,二者差異是因為這幾個公式都不是經過嚴格地推導,存在一些近似,但不妨礙原理上的理解。
公式1.4是在晶體管的溝道電場強度E比較低時成立。當晶體管溝道的電場強度很高時其載流子的漂移速度不再與其電場強度成正比,而趨向于一個恒定值vsat,那么公式1.4改寫為:


公式1.5
這時候,稱晶體管工作在速度飽和區。對于電子,臨界電場在1-5V/um之間。根據公式1.3,晶體管的溝道電場與過驅動電壓Vgs-Vth和有效溝道長度直接相關,晶體管的過驅動電壓Vgs-Vth越大,溝道長度越短(短溝道器件),晶體管越可能工作在速度飽和區。若將晶體管接成二極管形式,并對其Vgs從小到大進行掃描,管子將依次工作在截止區、弱反型區、強反型區、速度飽和區。
〈烜芯微/XXW〉專業制造二極管,三極管,MOS管,橋堆等,20年,工廠直銷省20%,上萬家電路電器生產企業選用,專業的工程師幫您穩定好每一批產品,如果您有遇到什么需要幫助解決的,可以直接聯系下方的聯系號碼或加QQ/微信,由我們的銷售經理給您精準的報價以及產品介紹
聯系號碼:18923864027(同微信)
QQ:709211280

